لا يستطيع البعض منا أن يتخيل حياته دون تناول الحلويات، مثل الشوكولاتة والحلوى والكعك... أو لا يستطيع أن يتخيل مشروبات مثل الشاي أو القهوة دون إضافة بعض السكر لتحليتها. السكر موجود بكثرة في نظامنا الغذائي اليومي. عندما نقول سكر، يفكر معظمنا أولاً في الحبيبات البيضاء الصغيرة التي نضيفها إلى طعامنا، والتي نطلق عليها "سكر المائدة". لكن السكر ليس مجرد تلك المادة. يمكن العثور على السكر في كل شيء من الفاكهة إلى الحلوى.
ما هو السكر حقًا، وما الذي نحتاجه في نظامنا الغذائي، وهل هو صحي أم لا؟
في هذا الدرس سوف نتعلم عن السكر، وسوف نكتشف:
كيميائيًا، يتكون السكر من ذرات الكربون (C) والأكسجين (O) والهيدروجين (H)، ويُصنف على أنه كربوهيدرات. الكربوهيدرات هي واحدة من العناصر الغذائية الرئيسية الثلاثة الموجودة في الأطعمة والمشروبات. السكر هو ببساطة الاسم العام للكربوهيدرات القابلة للذوبان ذات المذاق الحلو.
وفيما يلي أنواع السكر:
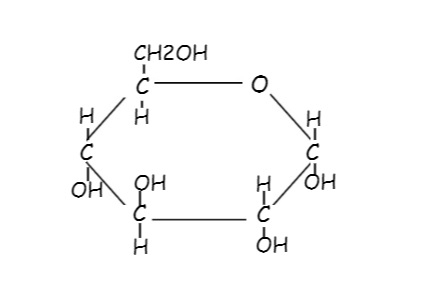
الجلوكوز هو سكر بسيط له الصيغة الجزيئية C 6 H 12 O 6. ويسمى أيضًا بالدكستروز. ويوجد في الفواكه والعسل وهو السكر الحر الرئيسي المتداول في دم الحيوانات العليا.

التركيب الكيميائي للجلوكوز
الفركتوز أو سكر الفاكهة هو سكر بسيط يوجد بشكل طبيعي في الفاكهة والعسل والسكروز وشراب الذرة عالي الفركتوز. صيغته الكيميائية هي C 6 H 12 O 6 .
الجلاكتوز هو سكر أحادي السكاريد حلو المذاق تقريبًا مثل الجلوكوز، وحوالي 65% حلو المذاق مثل السكروز. صيغته الكيميائية هي C 6 H 12 O 6 .
*الجلوكوز والجلاكتوز والفركتوز هي سكريات أحادية شائعة، وهي أبسط أشكال السكر، وأبسط وحدات الكربوهيدرات. وكلها لها نفس الصيغة، C 6 H 12 O 6، ولكن هياكلها مختلفة.
السكروز هو ما نعرفه باسم سكر المائدة . يتكون السكروز من جزيء واحد من الجلوكوز وجزيء واحد من الفركتوز مرتبطين معًا. إنه ثنائي السكاريد، وهو جزيء يتكون من اثنين من السكريات الأحادية: الجلوكوز والفركتوز. يتم إنتاج السكروز بشكل طبيعي في النباتات، حيث يتم تنقية سكر المائدة منه. صيغته هي C 12 H 22 O 11.
اللاكتوز هو سكر يوجد فقط في الحليب، ولهذا السبب يُشار إليه بسكر الحليب . وهو موجود أيضًا في منتجات الألبان والمنتجات المصنوعة من الحليب، بما في ذلك الجبن والآيس كريم. اللاكتوز هو ثنائي السكاريد. وهو سكر يتكون من وحدات فرعية من الجلاكتوز والجلوكوز. صيغته الكيميائية هي C₁₂H₂₂₂O₁₁.
المالتوز هو سكر يتكون من جزيئي جلوكوز مرتبطين ببعضهما البعض. ويسمى المالتوز أيضًا سكر الشعير . يتم إنتاجه في البذور وأجزاء أخرى من النباتات أثناء تحلل الطاقة المخزنة لديها للإنبات. صيغته الكيميائية هي C 12 H 22 O 11.
*السكروز واللاكتوز والمالتوز هي سكريات ثنائية شائعة، وهي تتكون من جزيئين من السكريات البسيطة المرتبطة ببعضها البعض. ولها نفس الصيغة الكيميائية، C12H22O11 ، ولكن لها هياكل مختلفة.
لا تعتبر السلاسل الأطول من السكريات الأحادية سكريات، وتسمى بالسكريات القليلة التعدد أو السكريات المتعددة.
| السكريات الأحادية | السكريات الثنائية |
| الجلوكوز (الديكستروز) | السكروز (سكر المائدة) = جلوكوز + فركتوز |
| الجلاكتوز | اللاكتوز (سكر الحليب) = الجلوكوز + الجلاكتوز |
| الفركتوز (سكر الفاكهة) | المالتوز (سكر الشعير) = جلوكوز + جلوكوز |
الآن، بعد أن عرفنا أنواع السكر، يمكننا مناقشة السكريات الطبيعية والمكررة. يوجد السكر الطبيعي في الطبيعة. وهو موجود في الفاكهة على هيئة فركتوز وفي منتجات الألبان، مثل الحليب والجبن، على هيئة لاكتوز. ولأن هذه السكريات توجد في الطبيعة، فإنها تُستهلك في صورة معالجة بسيطة. تلعب الأطعمة التي تحتوي على السكر الطبيعي دورًا مهمًا في النظام الغذائي لأنها توفر العناصر الغذائية الأساسية التي تحافظ على صحة الجسم وتساعد في الوقاية من الأمراض.
يأتي السكر المكرر من قصب السكر أو بنجر السكر، حيث تتم معالجتهما لاستخراج السكر. يوجد السكر عادة في صورة سكروز. نستخدم السكر الأبيض والبني. إذن، ما الفرق بين السكر الأبيض والسكر البني؟ يتم إنتاج السكر الأبيض من خلال عملية تنقية تزيل شرابًا بنيًا يسمى الدبس. من ناحية أخرى، يخضع السكر البني إما لمعالجة أقل للاحتفاظ بمحتوى الدبس أو يتم إنتاجه عن طريق خلط السكر الأبيض مع الدبس.
تشمل السكريات المضافة السكريات التي تتم إضافتها أثناء معالجة الأطعمة (مثل السكروز أو الدكستروز)، والأطعمة المعبأة كمحليات (مثل سكر المائدة)، والسكريات من الشراب والعسل، والسكريات من عصائر الفاكهة أو الخضار المركزة.
للسكر وظائف عديدة في تكنولوجيا الأغذية، وأهمها أن السكر المضاف إلى الأغذية يعمل كـ:
الوظيفة الأكثر شهرة للسكر. يعتمد إدراك حلاوة السكر على عوامل مثل درجة الحرارة، ودرجة الحموضة، والتركيز، ووجود مكونات أخرى داخل المنتجات النهائية، والإدراك الفردي.
يعمل السكر على زيادة الضغط الاسموزي في المنتج النهائي ويمنع نمو البكتيريا المسببة لتلف الأغذية.
يمكن اختيار حجم بلورة السكر لإضافة الأزمة والملمس البصري إلى سطح المنتجات النهائية.
التخمير عملية بالغة الأهمية في الخبز والتخمير. تستخدم الخميرة المستخدمة في هذه العمليات السكر كمصدر غذائي لإنتاج الإيثانول وثاني أكسيد الكربون والماء من خلال عملية التخمير. في صناعة الخبز، يعمل هذا على تسريع عملية التخمير. في إنتاج المشروبات الكحولية، يوفر التخمير مستوى الكحول والحلاوة المستهدف.
يمكن للسكر أن يعزز أو يثبط بعض خصائص النكهة في منتجاتك النهائية.
ومن الاستخدامات الأخرى للسكر استخدامه كعامل تلوين، وعامل تعبئة ، وما إلى ذلك.