يدور هذا الدرس حول خفض الأعداد الصغيرة إلى النصف.
النصف يعني التقسيم إلى جزئين متساويين.
لنأخذ برتقالة.

ونقطعها إلى قسمين متساويين.

القطع إلى أجزاء متساوية يعني "نصف". كل جزء نصف برتقالة كاملة.
عندما تقوم بنصف شكل ، يجب أن تتأكد من أنه مقسم من المنتصف لإعطاء "جزئين متساويين".
انظر إلى هذه الدائرة أدناه. هل هي مقسمة الى نصفين؟

لا. لماذا ا؟
لأن النصف يعني التقسيم إلى جزأين متساويين وهذه الدائرة مقسمة إلى ثلاثة أجزاء ، وليس جزأين. لذا ، هذا ليس النصف.
من المهم جدًا أن نتذكر أنه عندما نحصل على نصف أعداد زوجية ، نحصل على عدد صحيح ولكن الأعداد الفردية لن تكون عددًا صحيحًا عندما نجمعها نصفها.
هناك أكثر من طريقة لنصف الشكل.
خذ ورقة مستطيلة أو مربعة. حاول قصها إلى نصف عدد الطرق الممكنة.



وهكذا ، ترى ما هو النصف - هو تقطيع شيء ما إلى جزأين متساويين ويسمى كل جزء "نصف".
دعنا نتعلم أن نقسم رقمًا إلى النصف من خلال المشاركة بالتساوي بين شخصين.
هناك ستة مصاصات.

قسّم هذه بالتساوي بين بيتر وسام.
ارسم خطًا بينهما بحيث يكون هناك عدد متساوٍ من المصاصات على كل جانب.

نرى أن هناك 3 مصاصات على كل جانب من الخط.
سيحصل سام على 3 مصاصات وسيحصل بيتر على 3 مصاصات.
هذا يعني أن نصف 6 يساوي 3.
دعنا نحاول تقسيم المربعات التالية إلى قسمين متساويين.

هذه 8 مربعات. نصف 8 هو ______________.
لنلعب لعبة صغيرة. سيكون من الممتع لعب هذه اللعبة مع والديك أو صديقك.
خذ ورقة وقم بتقطيعها إلى 20 قطعة صغيرة.
1. ضع 10 قطع وشاركها بالتساوي بين كلا اللاعبين.
كم قطعة حصلت عليها؟ هل هي 5؟
كم قطعة حصل عليها اللاعب الآخر؟ هل هي 5؟
إذن ، نصف العدد 10 يساوي 5.
2. ضع 16 قطعة وشاركها بالتساوي بين كلا اللاعبين؟ كم قطعة حصل عليها كل واحد منكم؟
(الجواب: 8 قطع لكل منهما)
3. ضع 20 قطعة وشاركها بالتساوي بين كلا اللاعبين؟ كم قطعة حصل عليها كل واحد منكم؟
(الجواب: 10 قطع لكل منهما)
حسنًا ، اكتب الآن نصف الأرقام التالية:
نصف 2 هو ___________
نصف 4 هو ___________
نصف 6 هو ___________
نصف 8 هو ___________
نصف 10 هو ___________
نصف 12 هو ___________
نصف 14 هو ___________
نصف 16 هو ___________
نصف 18 هو ___________
نصف 20 هو ___________
هل إجاباتك مثل أدناه؟
نصف 2 هو 1
نصف 4 هو 2
نصف 6 هو 3
نصف 8 هو 4
نصف 10 هو 5
نصف 12 يساوي 6
نصف 14 يساوي 7
نصف 16 هو 8
نصف 18 هو 9
نصف 20 يساوي 10
النصف هو عكس المضاعفة. على سبيل المثال ، ضعف الرقم 2 يساوي 4 ، ونصف الرقم 4 يساوي 2.
من الجيد أن نتذكر أن نصف العدد 10 يساوي 5.
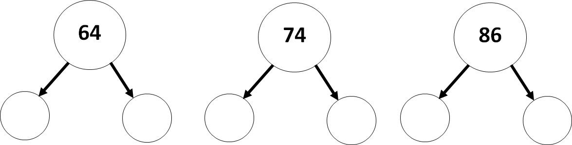
لذلك ، بالنسبة لأي عدد أكبر من 20 ، يمكنك تقسيمهم إلى أجزاء يمكن التحكم فيها من عشرات وآحاد ، ثم المشاركة بالتساوي بين اثنين.
على سبيل المثال ، لخفض 24 إلى النصف ، سنقسم الرقم ثم نجد نصف كل جزء منه.

24 = 10 + 10 + 4
نصف 10 يساوي 5 ونصف العدد 4 يساوي 2
إذن ، نصف 24 هو نصف 10 + نصف 10 + نصف 4 = 5 + 5 + 2 = 12
دعونا نتدرب على هذه الطريقة مع بعض الأرقام.
1. أوجد نصف العدد 30.
قسّم الرقم ثم ابحث عن نصف كل جزء من الرقم.

30 = 10 + 10 + 10
نصف 30 = 5 + 5 + 5 = 15
2. أوجد نصف العدد 36
قسّم الرقم ثم ابحث عن نصف كل جزء من الرقم.

36 = 10 + 10 + 10 + 6
نصف 10 يساوي 5 ونصف 6 هو 3.
نصف 36 = 5 + 5 + 5 + 3 = 18
3. أوجد نصف 48.
قسّم الرقم ثم ابحث عن نصف كل جزء من الرقم.

48 = 10 + 10 + 10 + 10 + 8
نصف 10 يساوي 5 ونصف 8 يساوي 4.
نصف 48 = 5 + 5 + 5 + 5 + 4 = 24
تدرب على تقسيم الأرقام التالية إلى النصف.


