Бүх бодис атом ба молекулуудаас тогтдог. Атомууд нь бодисын хамгийн жижиг нэгж тул молекулууд нь хоёр ба түүнээс дээш атомаас бүрддэг.
Энэ хичээлээр бид амьд организмд байдаг биомолекул гэж нэрлэгддэг молекулуудын талаар ярилцах болно. Бид сурах болно:
Амьд организмд байдаг молекулуудыг биомолекул гэж нэрлэдэг. Тэднийг биологийн молекул гэж нэрлэдэг. Биомолекулууд нь эсүүд болон амьд организмуудаас үүсдэг олон тооны бодисууд юм. Тэдгээр нь өргөн хүрээний хэмжээ, бүтэцтэй бөгөөд олон төрлийн функцийг гүйцэтгэдэг. Тус бүр нь эсийн чухал бүрэлдэхүүн хэсэг юм. Эдгээр молекулууд нийлээд эсийн массын ихэнх хувийг бүрдүүлдэг. Тэд бол амьдралын барилгын материал юм.
Биомолекулууд нь голчлон нүүрстөрөгч, устөрөгч, азот, хүчилтөрөгч, хүхэр, фосфороос бүрддэг.
Биомолекулууд нь уураг, нүүрс ус, липид, нуклейн хүчил зэрэг том макромолекулуудаас гадна анхдагч метаболит, хоёрдогч метаболит, байгалийн гаралтай бүтээгдэхүүн (амьдралаас үүссэн аливаа бодис) зэрэг жижиг молекулуудыг агуулдаг.
Анхдагч метаболит нь хэвийн өсөлт, хөгжил, нөхөн үржихүйд шууд оролцдог нэг төрлийн метаболит юм. Энэ нь ихэвчлэн бие махбодид физиологийн функцийг гүйцэтгэдэг бөгөөд тэдгээрийн зарим жишээнд зарим амин хүчлүүд багтдаг.
Хоёрдогч метаболитыг тусгай метаболит, хоёрдогч бүтээгдэхүүн, хорт бодис эсвэл байгалийн бүтээгдэхүүн гэж нэрлэдэг. Эдгээр нь органик нэгдлүүд юм. Тэд анхдагч метаболит шиг өсөлт, хөгжил, нөхөн үржихүйд үүрэг гүйцэтгэдэггүй.
Макромолекулууд нь олон мянган атомаас бүрдэх том, нарийн төвөгтэй молекулууд юм. Бүх амьдрал нь үндсэндээ нүүрс ус, липид, уураг, нуклейн хүчил гэсэн дөрвөн макромолекулын барилгын материалаас бүрддэг. Эдгээр дөрвөн төрлийн биомолекулууд бүгд нүүрстөрөгч, устөрөгч, хүчилтөрөгч агуулдаг.
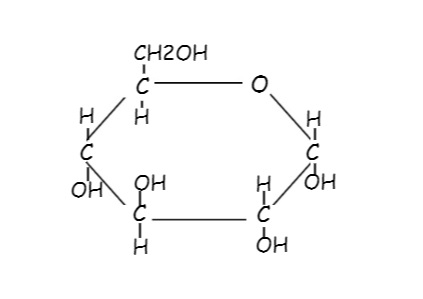
Бусад бүх макромолекулуудын нэгэн адил нүүрс ус нь жижиг органик молекулуудаас бүрддэг бөгөөд амьдралд шаардлагатай байдаг. Тэдний нэр нь найрлагаас гаралтай. Тэдгээр нь нүүрстөрөгч, ус (гидро) -ээс бүрддэг тул тэдгээрийг нүүрс ус гэж нэрлэдэг. Амьд организмууд нүүрс усыг эсийн урвалыг эрчим хүчээр хангах, эсийн хананд бүтцийн дэмжлэг үзүүлэхэд ашигладаг. Тэд бидний биеийг эрчим хүчээр, ялангуяа глюкозоор хангадаг. Глюкоз нь цардуулын бүрэлдэхүүн хэсэг болох энгийн элсэн чихэр бөгөөд олон үндсэн хоолонд ордог. Элсэн чихэр нь амархан метаболизмд ордог (задардаг) учраас бие махбодид хурдан эрчим хүчний эх үүсвэр болдог. Бие даасан энгийн чихрийн нэгжийн тоогоор нүүрс усыг бүлэгт хувааж болно. Моносахаридууд нь нэг сахарын нэгж агуулдаг; дисахаридууд нь хоёр сахарын нэгжийг агуулдаг ба полисахаридууд нь полимерүүд шиг олон сахарын нэгжийг агуулдаг - ихэнх нь моносахаридын нэгж болгон глюкоз агуулдаг.

Энгийн сахар болох глюкозын химийн бүтэц
Липидүүд нь олон төрлийн гидрофобик (уснаас айдаг) буюу усны био молекулд уусдаггүй бүлэг юм. Гэхдээ липидүүд нь бусад гурван төрлийн макромолекулуудаас жижиг бөгөөд тэдгээрийн гол ялгаа нь липидүүд нь полимер үүсгэдэггүй явдал юм. Тиймээс бид липидүүд нь мономеруудаас бүтдэггүй тул полимер биш гэж дүгнэх болно. Эдгээр нь нүүрстөрөгч ба устөрөгчийн молекулуудын урт гинж бөгөөд энгийн ба нарийн төвөгтэй гэж ангилдаг. Үндсэн төрөлд өөх тос, тос, лав, фосфолипид, стероид орно. Липидүүд нь эсэд янз бүрийн үүрэг гүйцэтгэдэг. Тэд энерги хадгалах, дохио өгөх үүрэгтэй бөгөөд эсийн мембраны бүтцийн бүрэлдэхүүн хэсэг юм. Хоол хүнсэнд агуулагдах липидийн хамгийн түгээмэл хэлбэр бол триглицерид юм. Триглицерид нь глицерин молекул, 3 тосны хүчил агуулдаг. Липидүүд нь биднийг дулаацуулахын тулд бидний биед дулаалга өгдөг.

Липидийн нэг төрөл болох холестерины химийн бүтэц
Уургууд нь амин хүчлийн үлдэгдлүүдийн нэг буюу хэд хэдэн урт гинжээс бүрддэг биомолекулууд юм. 20 төрлийн амин хүчлийг нэгтгэж уураг үүсгэдэг. Уураг нь бие махбодид олон чухал үүрэг гүйцэтгэдэг. Тэд эсийн ихэнх ажлыг гүйцэтгэдэг. Мөн уураг нь биеийн эрхтэн, эд эсийн үйл ажиллагаа, бүтэц, зохицуулалтад шаардлагатай байдаг. Уураг нь яс, булчин, мөгөөрс, арьс, цусны чухал барилгын материал юм. Үс, хумс нь ихэвчлэн уургаас бүрддэг. Уураг нь бие махбодийг хоол тэжээлийн эрчим хүчний 10-15% -ийг хангадаг. Энэ нь хүний биед агуулагдах усны дараа ордог хоёрдугаарт ордог.

Амин хүчлийн химийн бүтэц
Нуклейн хүчлүүд нь бүх мэдэгдэж буй амьдралын хэлбэрт зайлшгүй шаардлагатай биологийн макромолекулууд юм. Нуклейн хүчил гэдэг нэр томъёо нь ДНХ (дезоксирибонуклеины хүчил) ба РНХ (рибонуклеины хүчил)-ийн ерөнхий нэр юм. Эдгээр нь нуклеотидуудаас тогтдог. Нуклеотид нь азотын суурь, пентозын сахар, фосфатын бүлэг гэсэн гурван бүрэлдэхүүн хэсгээс бүрдэнэ. Нуклейн хүчлүүдийн үүрэг нь генетикийн мэдээллийг хадгалах, илэрхийлэхтэй холбоотой бөгөөд тэдгээр нь организмын генетикийн мэдээллийг кодлодог.

ДНХ (дезоксирибонуклеины хүчил)
Биомолекулууд нь дараахь зүйлийг агуулдаг.