Cała materia składa się z atomów i cząsteczek. Ponieważ atomy są najmniejszymi jednostkami materii, cząsteczki składają się z dwóch lub więcej atomów.
W tej lekcji omówimy cząsteczki występujące w organizmach żywych, zwane biomolekułami. Nauczymy się:
Cząsteczki występujące w żywych organizmach nazywane są biomolekułami. Nazywa się je również cząsteczkami biologicznymi. Biomolekuły to dowolne z wielu substancji wytwarzanych przez komórki i organizmy żywe. Mają szeroki zakres rozmiarów i struktur, a także wykonują szeroki wachlarz funkcji. Każdy jest ważnym składnikiem komórki. Łącznie cząsteczki te stanowią większość masy komórki. Są budulcem życia.
Biomolekuły składają się głównie z węgla i wodoru z azotem, tlenem, siarką i fosforem.
Biomolekuły obejmują duże makrocząsteczki, takie jak białka, węglowodany, lipidy i kwasy nukleinowe, a także małe cząsteczki, takie jak metabolity pierwotne, metabolity wtórne i produkty naturalne (dowolna substancja wytwarzana przez życie).
Pierwotny metabolit jest rodzajem metabolitu, który jest bezpośrednio zaangażowany w normalny wzrost, rozwój i reprodukcję. Zwykle pełni funkcje fizjologiczne w organizmie, a niektóre z nich obejmują niektóre aminokwasy.
Metabolity wtórne są również nazywane wyspecjalizowanymi metabolitami, produktami wtórnymi, toksynami lub produktami naturalnymi. Są to związki organiczne. Nie odgrywają roli we wzroście, rozwoju i rozmnażaniu, tak jak robią to pierwotne metabolity.
Makrocząsteczki to duże, złożone cząsteczki, złożone z tysięcy atomów. Całe życie składa się głównie z czterech makrocząsteczek budulcowych: węglowodanów, lipidów, białek i kwasów nukleinowych . Wszystkie cztery z tych typów biomolekuł zawierają węgiel, wodór i tlen.
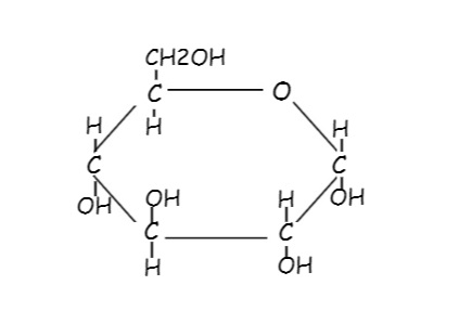
Podobnie jak wszystkie inne makrocząsteczki, węglowodany zbudowane są z mniejszych cząsteczek organicznych i są niezbędne do życia. Ich nazwa pochodzi od składu. Ponieważ składają się z węgla i wody (hydro), nazywane są węglowodanami. Organizmy żywe wykorzystują węglowodany jako dostępną energię do napędzania reakcji komórkowych i jako wsparcie strukturalne wewnątrz ścian komórkowych. Dostarczają naszemu organizmowi energii, zwłaszcza poprzez glukozę. Glukoza to cukier prosty, który jest składnikiem skrobi i składnikiem wielu podstawowych produktów spożywczych. Cukier jest źródłem szybkiej energii dla organizmu, ponieważ jest łatwo metabolizowany (rozkładany). Węglowodany można podzielić na grupy ze względu na liczbę pojedynczych jednostek cukru prostego. Monosacharydy zawierają pojedynczą jednostkę cukru; disacharydy zawierają dwie jednostki cukru, a polisacharydy zawierają wiele jednostek cukru, podobnie jak polimery - większość zawiera glukozę jako jednostkę monosacharydu.

Budowa chemiczna glukozy, która jest cukrem prostym
Lipidy to zróżnicowana grupa hydrofobowych („bojących się wody”), czyli nierozpuszczalnych w wodzie biomolekuł. Ale lipidy są mniejsze niż pozostałe trzy typy makrocząsteczek, a główna różnica między nimi polega na tym, że lipidy nie tworzą polimerów. Dojdziemy więc do wniosku, że lipidy nie są polimerami, ponieważ nie są zbudowane z monomerów. Są to długie łańcuchy cząsteczek węgla i wodoru i są klasyfikowane jako proste i złożone. Główne typy to tłuszcze i oleje, woski, fosfolipidy i steroidy. Lipidy pełnią różne funkcje w komórkach. Odpowiadają za magazynowanie energii, sygnalizację oraz pełnią rolę elementów strukturalnych błon komórkowych. Najpowszechniejszą postacią lipidów występującą w żywności są trójglicerydy. Trójglicerydy zawierają cząsteczkę glicerolu i 3 kwasy tłuszczowe. Lipidy zapewniają izolację w naszych ciałach, aby utrzymać ciepło.

Struktura chemiczna cholesterolu, rodzaj lipidów
Białka to biocząsteczki, składające się z jednego lub więcej długich łańcuchów reszt aminokwasowych. Istnieje 20 różnych rodzajów aminokwasów, które można łączyć w celu wytworzenia białka. Białka pełnią wiele kluczowych funkcji w organizmie. Większość pracy wykonują w komórkach. Białka są również niezbędne do funkcjonowania, struktury i regulacji narządów i tkanek organizmu. Białko jest ważnym budulcem kości, mięśni, chrząstek, skóry i krwi. Włosy i paznokcie są w większości zbudowane z białka. Białko dostarcza organizmowi około 10 do 15% energii zawartej w pożywieniu. Jest to drugi najbardziej rozpowszechniony związek w organizmie, po wodzie.

Struktura chemiczna aminokwasu
Kwasy nukleinowe to makrocząsteczki biologiczne niezbędne dla wszystkich znanych form życia. Termin kwas nukleinowy to ogólna nazwa DNA (kwas dezoksyrybonukleinowy) i RNA (kwas rybonukleinowy). Zbudowane są z nukleotydów. Nukleotyd składa się z trzech składników: zasady azotowej, cukru pentozowego i grupy fosforanowej. Funkcje kwasów nukleinowych dotyczą przechowywania i wyrażania informacji genetycznej, kodują informację genetyczną organizmów.

DNA (kwas dezoksyrybonukleinowy)
Biomolekuły obejmują również: