Maada zote zinaundwa na atomi na molekuli. Kama vile atomi ni vitengo vidogo zaidi vya maada, molekuli huundwa na atomi mbili au zaidi.
Katika somo hili, tutajadili molekuli zinazopatikana katika viumbe hai, zinazoitwa biomolecules. Tutajifunza:
Molekuli zinazopatikana katika viumbe hai huitwa biomolecules. Pia huitwa molekuli za kibiolojia. Biomolecules ni yoyote ya dutu nyingi zinazozalishwa na seli na viumbe hai. Wana anuwai ya saizi na miundo na hufanya safu kubwa ya kazi, vile vile. Kila moja ni sehemu muhimu ya seli. Kwa kuunganishwa, molekuli hizi huunda wingi wa wingi wa seli. Wao ndio msingi wa maisha.
Biomolecules hujumuisha hasa kaboni na hidrojeni na nitrojeni, oksijeni, sulfuri, na fosforasi.
Biomolecules ni pamoja na macromolecules kubwa, kama vile protini, wanga, lipids, na asidi nucleic, pamoja na molekuli ndogo kama vile metabolites msingi, metabolites sekondari, na bidhaa asili (dutu yoyote zinazozalishwa na maisha).
Metabolite ya msingi ni aina ya metabolite ambayo inahusika moja kwa moja katika ukuaji wa kawaida, maendeleo, na uzazi. Kawaida hufanya kazi ya kisaikolojia katika kiumbe, na baadhi ya mifano yao ni pamoja na asidi fulani ya amino.
Metaboli za sekondari pia huitwa metabolites maalum, bidhaa za sekondari, sumu, au bidhaa za asili. Wao ni misombo ya kikaboni. Hazina jukumu katika ukuaji, ukuzaji, na uzazi kama metabolites za msingi hufanya.
Macromolecules ni molekuli kubwa, ngumu, inayojumuisha maelfu ya atomi. Uhai wote unajumuisha hasa vijenzi vinne vya macromolecule: wanga, lipids, protini, na asidi nucleic . Zote nne za aina hizo za biomolecules zina kaboni, hidrojeni, na oksijeni.
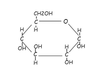
Kama macromolecules mengine yote, wanga hujengwa kutoka kwa molekuli ndogo za kikaboni na ni muhimu kwa maisha. Jina lao linatokana na muundo. Kwa sababu zinaundwa na kaboni na maji (hydro), huitwa wanga. Viumbe hai hutumia kabohaidreti kama nishati inayoweza kufikiwa ili kuongeza athari za seli na kwa usaidizi wa kimuundo ndani ya kuta za seli. Wanaipa miili yetu nishati, haswa kupitia sukari. Glucose ni sukari rahisi ambayo ni sehemu ya wanga na kiungo katika vyakula vingi vya msingi. Sukari ni chanzo cha nishati ya haraka kwa mwili kwa sababu imetengenezwa kwa urahisi (kuvunjika). Wanga inaweza kugawanywa katika vikundi kulingana na idadi ya vitengo rahisi vya sukari. Monosaccharides ina kitengo cha sukari moja; disaccharides huwa na vitengo viwili vya sukari, na polisakaridi huwa na vitengo vingi vya sukari kama ilivyo katika polima - nyingi huwa na glukosi kama kitengo cha monosakharidi.

Muundo wa kemikali wa Glucose, ambayo ni sukari rahisi
Lipids ni kundi tofauti la hydrophobic ("kuogopa maji"), au isiyoyeyuka katika molekuli za kibaolojia za maji. Lakini, lipids ni ndogo kuliko aina nyingine tatu za macromolecules, na tofauti kuu nao ni kwamba lipids hazifanyi polima. Kwa hivyo, tutahitimisha kuwa lipids sio polima, kwa sababu hazijengwa kutoka kwa monomers. Ni minyororo mirefu ya molekuli za kaboni na hidrojeni na zimeainishwa kama rahisi na ngumu. Aina kuu ni pamoja na mafuta na mafuta, waxes, phospholipids, na steroids. Lipids hufanya kazi tofauti katika seli. Wanawajibika kwa kuhifadhi nishati, kuashiria, na wanafanya kama sehemu za kimuundo za membrane za seli. Aina ya kawaida ya lipid inayopatikana katika chakula ni triglycerides. Triglycerides ina molekuli ya glycerol na asidi 3 za mafuta. Lipids hutoa insulation katika miili yetu ili kutuweka joto.

Muundo wa kemikali wa Cholesterol, aina ya Lipid
Protini ni biomolecules, yenye minyororo moja au zaidi ya muda mrefu ya mabaki ya amino asidi. Kuna aina 20 tofauti za amino asidi ambazo zinaweza kuunganishwa kutengeneza protini. Protini zina jukumu kubwa katika mwili. Wanafanya kazi nyingi katika seli. Pia, protini zinahitajika kwa kazi, muundo, na udhibiti wa viungo na tishu za mwili. Protini ni nyenzo muhimu ya ujenzi wa mifupa, misuli, cartilage, ngozi na damu. Nywele na misumari ni zaidi ya maandishi ya protini. Protini huupa mwili takriban 10 hadi 15% ya nishati yake ya lishe. Ni kiwanja cha pili kwa wingi mwilini, kufuatia maji.

Muundo wa kemikali ya asidi ya amino
Asidi za nyuklia ni macromolecules ya kibiolojia muhimu kwa aina zote za maisha zinazojulikana. Neno asidi nucleic ni jina la jumla la DNA (Deoxyribonucleic acid) na RNA (Ribonucleic acid). Wao huundwa na nucleotides. Nucleotidi huundwa na vipengele vitatu: msingi wa nitrojeni, sukari ya pentose, na kikundi cha phosphate. Kazi za asidi nucleic zinahusiana na uhifadhi na usemi wa habari za urithi, zinaweka habari za kijeni za viumbe.

DNA (Deoxyribonucleic Acid)
Biomolecules pia ni pamoja na: