Tất cả các vật chất được tạo thành từ các nguyên tử và phân tử. Vì nguyên tử là đơn vị nhỏ nhất của vật chất nên phân tử bao gồm hai hoặc nhiều nguyên tử.
Trong bài học này, chúng ta sẽ thảo luận về các phân tử được tìm thấy trong cơ thể sống, được gọi là phân tử sinh học. Chúng ta sẽ học:
Các phân tử được tìm thấy trong các sinh vật sống được gọi là phân tử sinh học. Chúng còn được gọi là các phân tử sinh học. Các phân tử sinh học là bất kỳ chất nào trong số rất nhiều chất được tạo ra bởi các tế bào và sinh vật sống. Chúng có nhiều kích cỡ và cấu trúc khác nhau và cũng thực hiện rất nhiều chức năng. Mỗi người là một thành phần quan trọng của tế bào. Kết hợp lại, các phân tử này chiếm phần lớn khối lượng của tế bào. Họ là những khối xây dựng của cuộc sống.
Các phân tử sinh học bao gồm chủ yếu là carbon và hydro với nitơ, oxy, lưu huỳnh và phốt pho.
Các phân tử sinh học bao gồm các đại phân tử lớn, chẳng hạn như protein, carbohydrate, lipid và axit nucleic, cũng như các phân tử nhỏ như chất chuyển hóa sơ cấp, chất chuyển hóa thứ cấp và các sản phẩm tự nhiên (bất kỳ chất nào do sự sống tạo ra).
Chất chuyển hóa sơ cấp là loại chất chuyển hóa tham gia trực tiếp vào quá trình sinh trưởng, phát triển và sinh sản bình thường. Nó thường thực hiện một chức năng sinh lý trong cơ thể và một số ví dụ về chúng bao gồm một số axit amin.
Các chất chuyển hóa thứ cấp còn được gọi là các chất chuyển hóa chuyên biệt, sản phẩm thứ cấp, chất độc hoặc sản phẩm tự nhiên. Chúng là các hợp chất hữu cơ. Chúng không đóng vai trò trong quá trình tăng trưởng, phát triển và sinh sản như các chất chuyển hóa sơ cấp.
Đại phân tử là những phân tử lớn, phức tạp, bao gồm hàng nghìn nguyên tử. Tất cả sự sống chủ yếu bao gồm bốn khối xây dựng đại phân tử: carbohydrate, lipid, protein và axit nucleic . Tất cả bốn loại phân tử sinh học này đều chứa carbon, hydro và oxy.
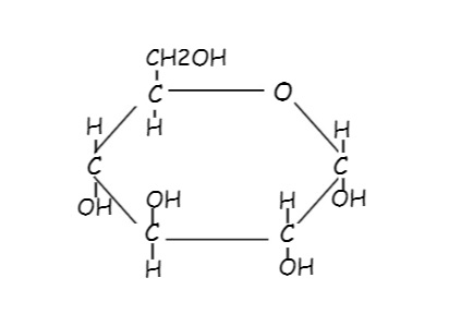
Giống như tất cả các đại phân tử khác, carbohydrate được hình thành từ các phân tử hữu cơ nhỏ hơn và cần thiết cho sự sống. Tên của họ xuất phát từ các thành phần. Bởi vì chúng được tạo thành từ carbon và nước (hydro), chúng được gọi là carbohydrate. Các sinh vật sống sử dụng carbohydrate làm năng lượng có sẵn để cung cấp nhiên liệu cho các phản ứng của tế bào và để hỗ trợ cấu trúc bên trong thành tế bào. Chúng cung cấp cho cơ thể chúng ta năng lượng, đặc biệt là thông qua glucose. Glucose là một loại đường đơn giản, là thành phần của tinh bột và là một thành phần trong nhiều loại thực phẩm cơ bản. Đường là nguồn cung cấp năng lượng nhanh chóng cho cơ thể vì nó dễ dàng được chuyển hóa (phân hủy). Carbohydrate có thể được chia thành các nhóm theo số lượng đơn vị đường đơn riêng lẻ. Monosacarit chứa một đơn vị đường đơn; disacarit chứa hai đơn vị đường và polysacarit chứa nhiều đơn vị đường như trong polyme - hầu hết chứa glucose là đơn vị monosacarit.

Cấu trúc hóa học của Glucozơ là đường đơn
Lipid là một nhóm đa dạng kỵ nước (“sợ nước”), hoặc không hòa tan trong các phân tử sinh học nước. Tuy nhiên, lipid nhỏ hơn ba loại đại phân tử còn lại và điểm khác biệt chính của chúng là lipid không tạo thành polyme. Vì vậy, chúng tôi sẽ kết luận rằng lipid không phải là polyme, bởi vì chúng không được tạo ra từ các monome. Chúng là những chuỗi dài các phân tử carbon và hydro và được phân loại thành đơn giản và phức tạp. Các loại chính bao gồm chất béo và dầu, sáp, phospholipid và steroid. Lipid thực hiện các chức năng khác nhau trong tế bào. Chúng chịu trách nhiệm lưu trữ năng lượng, truyền tín hiệu và chúng đóng vai trò là thành phần cấu trúc của màng tế bào. Dạng lipid phổ biến nhất được tìm thấy trong thực phẩm là triglyceride. Triglyceride chứa một phân tử glycerol và 3 axit béo. Lipid cung cấp lớp cách nhiệt trong cơ thể chúng ta để giữ ấm cho chúng ta.

Cấu trúc hóa học của Cholesterol, một loại Lipid
Protein là các phân tử sinh học, bao gồm một hoặc nhiều chuỗi dài axit amin. Có 20 loại axit amin khác nhau có thể được kết hợp để tạo ra protein. Protein đóng nhiều vai trò quan trọng trong cơ thể. Họ làm hầu hết các công việc trong các tế bào. Ngoài ra, các protein cần thiết cho chức năng, cấu trúc và quy định của các cơ quan và mô của cơ thể. Protein là một khối xây dựng quan trọng của xương, cơ, sụn, da và máu. Tóc và móng chủ yếu được làm bằng protein. Protein cung cấp cho cơ thể khoảng 10 đến 15% năng lượng khẩu phần. Nó là hợp chất phong phú thứ hai trong cơ thể, sau nước.

Cấu trúc hóa học của axit amin
Axit nucleic là các đại phân tử sinh học cần thiết cho tất cả các dạng sống đã biết. Thuật ngữ axit nucleic là tên chung của DNA (Axit Deoxyribonucleic) và RNA (Axit Ribonucleic). Chúng bao gồm các nucleotide. Một nucleotide được tạo thành từ ba thành phần: bazơ nitơ, đường pentose và nhóm phốt phát. Các chức năng của axit nucleic liên quan đến việc lưu trữ và biểu hiện thông tin di truyền, chúng mã hóa thông tin di truyền của sinh vật.

DNA (Axit Deoxyribonucleic)
Các phân tử sinh học cũng bao gồm: